10月9日,武汉量子技术研究院-华中科技大学吕新友研究员团队与江汉大学、日本理化学研究所、密西根大学合作,在物理学权威期刊《物理评论快报》(Physical Review Letters)在线刊发了题为《Disorder-Induced Strongly Correlated Photons in Waveguide QED》的研究论文[Phys.Rev. Lett. 135,153604(2025)]。武汉量子技术研究院-华中科技大学物理学院2022级博士生田国庆为论文第一作者。
在量子通信、量子计算等前沿科技领域,强关联光子扮演着不可或缺的角色。为了高效制备强关联光子,研究者们将目光投向了波导量子电动力学系统。该平台提供了一个高度可控的环境,让光子与量子发射体在一维波导中进行相互作用,从而使其成为一个生成和操控强关联光子的强大工具。然而,在实际实验中,由于制备工艺的限制,量子发射体能级结构中的无序性是固有且不可避免的。一个关键的科学问题是:在存在无序性的情况下,系统是否依然能够产生所需要的强关联光子?

图1.(a)波导QED系统的理论模型。(b)不同原子数对应的强关联光子事件可能性。
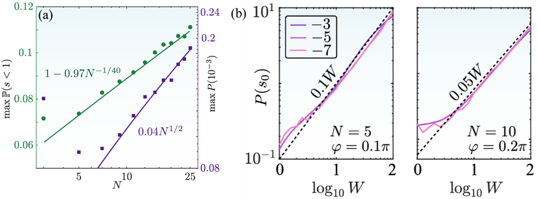
针对于上述问题,吕新友研究员团队取得了重要的研究进展。他们理论上发现了系统的无序能够诱导出光子反聚束,特别是近完美光子阻塞这些强关联光子事件;作为对比,在不考虑无序的情况下,系统只能产生弱反聚束的光子。进一步地,通过适当选取原子数、无序强度等系统参数,这些强关联光子事件的概率能够被显著的提高。其中值得注意的是,这些强关联事件随着原子数或者无序强度展现出幂律规律的增强行为。这一研究成果不仅揭示了无序在强关联光子产生中所扮演的正面角色,还为制备高效率的单光子源提供了新的思路。

图2.(a)光子反聚束和近完美光子阻塞随原子数的幂律增强。(b)近完美光子阻塞随无序强度的幂律增强。
该研究得到了国家杰出青年科学基金和国家重点研究与发展计划等资助。
论文链接:https://doi.org/10.1103/mldt-d59t
